Código
## Librerías de R requeridas para el análisis
library(popdemo)
library(popbio)
library(ggplot2)
library(dplyr)
library(scales)
library(tidyverse)La dinámica de transiciones describe cómo los procesos demográficos cambian a través del tiempo y del contexto ambiental. Este capítulo introduce la variación temporal de las transiciones como un componente clave para entender poblaciones que no se comportan de manera estacionaria.
Por: Mariana Hernández-Apolinar, Tamara Ticktin y Paola Portillo Tzompa
En los modelos básicos de dinámica poblacional, las transiciones entre estadios suelen asumirse constantes en el tiempo. Sin embargo, en sistemas reales, las tasas de supervivencia, crecimiento y fecundidad pueden variar entre años, estaciones o en respuesta a condiciones ambientales y perturbaciones externas. La dinámica de transiciones aborda explícitamente esta variabilidad temporal como un proceso central de la dinámica poblacional.
En este capítulo se exploran los fundamentos conceptuales para modelar transiciones que cambian en el tiempo, mostrando cómo esta variación influye en la trayectoria poblacional y en la interpretación de parámetros como la tasa de crecimiento poblacional. Se discuten distintas fuentes de variación temporal, incluyendo fluctuaciones ambientales, densodependencia y respuestas a eventos extremos, así como los supuestos asociados a su representación en modelos poblacionales.
A diferencia de los capítulos sobre transiciones demográficas estáticas o descomposición matricial, este capítulo se centra en la dinámica temporal de los procesos demográficos. Comprender cómo y por qué cambian las transiciones en el tiempo resulta esencial para interpretar resultados de simulaciones poblacionales, analizar respuestas a escenarios de manejo y evaluar la estabilidad o vulnerabilidad de las poblaciones frente a variabilidad ambiental. Este enfoque proporciona el vínculo conceptual entre los modelos estructurados clásicos y enfoques dinámicos más realistas.
A continuación se presentan los enfoques utilizados para representar transiciones demográficas que cambian en el tiempo, incluyendo formulaciones determinísticas y dependientes de covariables. La variación temporal de las transiciones puede representarse mediante secuencias de matrices U y F, descritas en el capítulo sobre matrices U, F y C.
## Librerías de R requeridas para el análisis
library(popdemo)
library(popbio)
library(ggplot2)
library(dplyr)
library(scales)
library(tidyverse)Los modelos de proyección poblacional (MPP), previamente abordados en el capítulo de Propiedades poblacionales, constituyen las herramientas más empleadas para estimar el crecimiento futuro de una población (i.e., largo plazo). Estos modelos suelen asumir la constancia en las tasas vitales —proporciones de mortalidad, reproducción y crecimiento de los individuos en las distintas categorías poblacionales— bajo condiciones ambientales invariables (Caswell, 2001; Crone et al., 2011; Koons, Iles & Stott, 2021). En ausencia de variación (i.e., modelos deterministas), se espera que la población crezca o decrezca a una velocidad constante, denominada tasa finita o asintótica de crecimiento poblacional (\(λ\)) (Bierzychudek, 1999; Caswell, 2001). Este patrón estable se alcanza cuando la proporción de individuos por categoría de tamaño o estado permanece constante, condición conocida como estructura estable (\(w\)).
Sin embargo, en sistemas naturales las condiciones poblacionales y ambientales rara vez son constantes. Las poblaciones enfrentan recursos limitados (e.g., alimento, refugio), ambientes heterogéneos y perturbaciones (e.g., deforestación, sequías, huracanes, enfermedades), que alteran su dinámica y evidencian que la tasa de crecimiento a largo plazo (\(λ\)) no siempre predice adecuadamente los cambios poblacionales (Bierzychudek, 1999). Por ello, se han desarrollado modelos que incorporan variabilidad ambiental y permiten proyecciones más realistas, como los modelos estocásticos (ver el capítulo de Crecimiento poblacional) y los análisis de dinámica transitoria.
Los modelos de dinámica transitoria se proponen como alternativa para evaluar la respuesta poblacional ante perturbaciones súbitas de origen biótico (e.g., depredación), abiótico (e.g., huracán) o antropogénico (e.g., extracción) (Ezard et al., 2010). Una característica distintiva es que el disturbio afecta únicamente la estructura poblacional, sin modificar los valores de la matriz de transición, que permanecen constantes en el tiempo (Stott, Townley & Hodgson, 2011; Vindenes et al., 2021). Este cambio abrupto genera una respuesta instantánea, temporal y de corto plazo, generalmente distinta a la dinámica esperada en el largo plazo (Ezard et al., 2010; Stott et al., 2010; Koons, Iles & Stott, 2021).
Para comprender cómo la estructura inicial influye en el crecimiento poblacional, estos modelos asumen una estructura inestable, lo que permite analizar la respuesta antes de alcanzar el crecimiento asintótico (i.e., \(λ\) constante y estructura estable) (Bierzychudek, 1999; Stott, Townley & Hodgson, 2011; Stott, Hodgson & Townley, 2012a; Koons, Iles & Stott, 2021). La respuesta se evalúa mediante las discrepancias entre el comportamiento poblacional bajo una o varias estructuras iniciales (corto plazo) y la estructura estable (largo plazo) (Raventós et al., 2015). Dichas diferencias se reflejan en incrementos (ampliación), decrementos (atenuación) o fluctuaciones en la abundancia poblacional a corto plazo respecto al largo plazo (Stott, Townley & Hodgson, 2011), cuantificadas mediante los índices de transferencia (Stott, Townley & Hodgson, 2011).
Actualmente, los modelos de dinámica transitoria han demostrado ser herramientas valiosas en estudios poblacionales de orquídeas, ya que permiten evaluar estrategias de conservación y manejo (Raventós et al., 2015; Tremblay, Raventos & Ackerman, 2015; Ospina-Calderón et al., 2023). Aunque estos análisis existen desde hace décadas (Crone et al., 2011), su accesibilidad aumentó significativamente a partir de 2010 (Stott, Hodgson & Townley, 2012b).
λ y la dinámica transitoria responden a preguntas distintas.
Una población con \(\lambda = 1.10\) no necesariamente crecerá un 10% el primer año: si su estructura está sesgada (todos plántulas, todos adultos), puede inicialmente decrecer, oscilar o crecer mucho más rápido que λ — y sólo después de varios pasos de tiempo el comportamiento converge al asintótico.
El marco metodológico propuesto por Stott y colaboradores (Stott, Townley & Hodgson, 2011; Stott, Hodgson & Townley, 2012b; Stott, Hodgson & Townley, 2012a) incluye procedimientos matemáticos implementados en el software estadístico R, que facilitan el cálculo y análisis de la dinámica transitoria. Para desarrollar un proyecto de este tipo, se recomienda seguir los pasos resumidos a continuación:
Cabe destacar que los modelos de dinámica transitoria constituyen la única herramienta para evaluar poblaciones que nunca convergen —o cuya convergencia es improbable— hacia una estructura estable (Hinrichsen, 2025).
Como punto de partida y con la finalidad de contrastar su comportamiento con el de corto plazo, se describe el crecimiento de la población a largo plazo: tasas vitales constantes y en condiciones ambientales sin variación.

El ciclo de vida de L. rubripetala fue dividido en cuatro categorías de estado: plántula (PL), juvenil (J), adulto no reproductivo (NR) y adulto reproductivo (AR). Esta última categoría florece y produce frutos a largo de todo el año (Schödelbauerová, Tremblay & Kindlmann, 2010; Tremblay, Raventos & Ackerman, 2015). En consecuencia, la estructura poblacional cuenta con una columna de 4 elementos, que indican el número de individuos encontrado en el estado de plántula (0), juvenil (46), adulto no reproductivo (38) y adulto reproductivo (82) al inicio del estudio, indicado como \(t_{0}\) (Schödelbauerová, Tremblay & Kindlmann, 2010). Por su parte, la matriz de transición de L. rubripetala está formada por 4 renglones y 4 columnas (Tremblay, Raventos & Ackerman, 2015), que corresponden a los estados del ciclo de vida de la especie y los 16 elementos de la probabilidad de permanencia, transición a una categoría superior, retroceso a una categoría inferior y fecundidad promedio por categoría (ver el capítulo de Transiciones).
En el siguiente recuadro incorporamos la información de L. rubripetala en R. La función matrix fue usada para construir la matriz de transición y n0 se usa para nombrar al vector de la estructura inicial observada.
#Capturar los datos de la matriz para L. rubripetala (Tremblay et al. 2015)
Lr1 <- matrix(c(0.4324, 0, 0, 0.15,
0.3784, 0.8459, 0, 0,
0, 0.0034, 0.7954,0.2300,
0, 0.0890, 0.1841,0.7510),
byrow=TRUE,ncol=4)
#Capturar las categorías de estado
estadios <- c("PL", "J", "NR", "AR")
colnames(Lr1) <- rownames(Lr1) <- estadios
#Obtener la matriz L. rubripetala
Lr1 <- matrix(Lr1[1:4, ], nrow = 4, dimnames = list(estadios, estadios))
Lr1 PL J NR AR
PL 0.4324 0.0000 0.0000 0.150
J 0.3784 0.8459 0.0000 0.000
NR 0.0000 0.0034 0.7954 0.230
AR 0.0000 0.0890 0.1841 0.751
Estructura de la población inicial
[1] 0 46 38 82
El crecimiento de la población de tipo asintótico, \(λ\) (de ahora en adelante \(λ_{max}\)), se alcanza en el largo plazo si se mantienen las condiciones constantes de la población, y se evidencia cuando se mantiene constante o estable la proporción de individuos en la estructura poblacional.
En el siguiente recuadro se calcula \(λ_{max}\) para la población 1 de L. rubripetala. El resultado indica que la tasa de crecimiento poblacional es de 1.007. Esto implica que si existieran 1000 individuos en la población, a esta tasa la población aumentaría en siete individuos del primer mes (\(t_{0}\)) al siguiente (\(t_{1}\)). Este ejemplo sólo permite ilustrar el concepto, ya que las poblaciones de Lepanthes nunca serán tan grandes en la naturaleza (Tremblay, 1997).
#Análisis asintótico (i.e. largo plazo) del crecimiento poblacional de L. rubripetala
#La orquídea florece y produce frutos todo el año, por lo que el seguimiento de la población fue mensual.
#PARÁMETROS POBLACIONALES
##lambda: Tasa de crecimiento poblacional
lambda <- lambda(Lr1)
lambda[1] 1.007206
El cálculo y análisis de la dinámica transitoria es menos directo en comparación con la de largo plazo o asintótica (Stott, 2012). Esto es, para distinguir los efectos transitorios de los asintóticos, en la dinámica de corto plazo se plantean los siguientes análisis: la dinámica poblacional absoluta, la dinámica transitoria estandarizada y el cálculo de los límites transitorios. Debido a que la dinámica transitoria depende de las condiciones iniciales de la estructura (Raventós et al., 2015), en la solución de estos tres análisis se requiere definir el vector inicial para la población de estudio (Stott, 2012).
Las fluctuaciones aleatorias en la estructura debidas a una perturbación de origen biótico, abiótico o antropogénico son incorporadas por Stott y colaboradores como estocasticidad demográfica (Stott et al., 2010; Stott, Townley & Hodgson, 2011). Este tipo de estocasticidad se refiere a la sobrevivencia y reproducción en número entero y finito; es decir, un individuo sobrevive o no, lo cual se representa con 1 o 0, al igual que puede reproducirse (1) o no (0). La incorporación de esta característica en los individuos genera una variación no cíclica ni predecible en la respuesta de los individuos de una población y pueden tener un impacto considerable en el tamaño de la población (Stott, 2012).
Por ejemplo, la estructura inicial en la población 1 de L. rubripetala fue la siguiente: (0,46,38,82). En este caso, al modificar la proporción de individuos presente en una, dos o en todas las categorías de la población se simuló el cambio en la dinámica en el corto plazo; es decir, en un momento previo a que se alcance el crecimiento estable o de largo plazo. En L. rubripetala se hicieron cinco simulaciones o escenarios al suponer las siguientes proporciones de individuos por categoría (Tremblay, Raventos & Ackerman, 2015):
El análisis transitorio es sensible a la estructura inicial. A diferencia de λ, los índices transitorios (reactividad, amplificación, atenuación, inercia) cambian según la composición inicial de la población. Por eso la práctica recomendada es proyectar varios escenarios:
Una población observada lejos de la estructura estable puede comportarse de forma muy distinta a lo que predice λ.
Como consecuencia de las perturbaciones o escenarios existen cambios en el crecimiento poblacional, cuyas medidas absolutas de densidad describen qué tan grande o pequeña puede llegar a ser una población en el corto plazo (Stott, Townley & Hodgson, 2011). Un aspecto importante a considerar es que, estas medidas absolutas describen la influencia combinada de las tasas de crecimiento transitorio y la dinámica asintótica, cuyo comportamiento se conoce como dinámica poblacional absoluta y se visualiza para L. rubripetala a través de la figura 2A de Tremblay y colaboradores (Tremblay, Raventos & Ackerman, 2015).
En los siguientes recuadros se proyecta la dinámica poblacional absoluta de L. rubripetala ante cambios en la estructura inicial (i-v). Se estiman y grafican uno a uno los resultados de los escenarios: 1, 3 y 5, por lo que se sugiere desarrollar los incisos restantes, a fin de poner a prueba los conocimientos adquiridos.
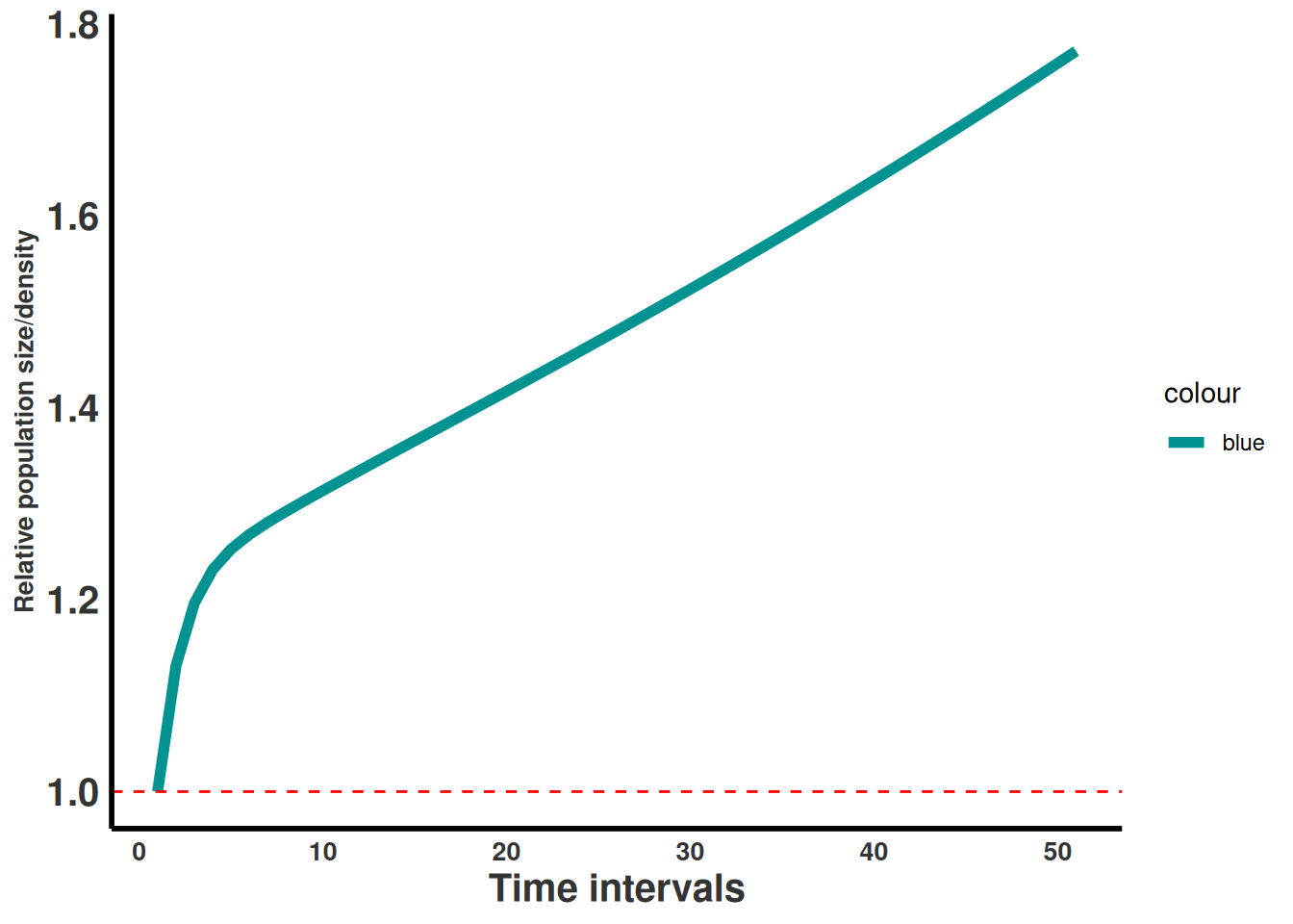
Límite inferior (1,0,0,0): todos los individuos de la población se encuentran en la categoría de plántulas (lower bound). Esto representa, por ejemplo, una población que se está estableciendo, ya que todos los individuos son plántulas y no hay individuos en las otras categorías.
En este caso, se observa que la población decrece rápidamente y se estabiliza en un valor cercano a 0.6, lo que indica que el tamaño relativo poblacional es menor que el tamaño poblacional del crecimiento asintótico (1.007), aún después de proyectar su crecimiento a un intervalo de 50 meses. A partir de lo anterior, se sugiere que la población no se recupera y que la estructura de la población no es favorable para el crecimiento poblacional de L. rubripetala.
# DINÁMICA POBLACIONAL ABSOLUTA.
#Definir los margenes
par(mfrow = c(1, 1))
par(mar = c(3, 3, 3, 3))
#Vector original
nLr0 <- c(0, 46, 38, 82)
#Escenario 1. Límite inferior # Límite inferior (1,0,0,0)
nLr1 <- c(166, 0, 0, 0)
#Proporción de individuos por categoría
nLr1 <- nLr1 / sum(nLr1)
# nLr1
#Gráfica de barras del escenario 1
#barplot(nLr1, names.arg = 1:4)
#title(main = "Escenario 1", xlab = "Categoría", ylab = "Proporción")
#Proyección de la dinámica escenario 1
pr1 <- project(Lr1, vector = nLr1, time = 50)
pr1df <- as.data.frame(pr1)
pr1df$time <- seq(1, nrow(pr1df), 1)
ggplot(pr1df, aes(time, pr1)) +
geom_line(aes(color = "blue"), size = 2) +
geom_hline(yintercept = 1, linetype = "dashed", color = "red") +
xlab("Time intervals") +
ylab("Relative population size/density") +
theme_minimal() +
rlt_style_colour()+
theme(legend.position = "none")
#plot(pr1, log = "y", ylim = c(0.1, 1.6), ann = FALSE)
#title(main = "Proyección de la dinámica (Escenario 1)", xlab = "Time intervals", ylab = "Population size/density")En este escenario, se supone que la población tiene una mayor proporción de individuos en las categorías juvenil y adulto no reproductivo (0.15, 0.35, 0.30, 0.20). En este caso, la población decrece rápidamente en los primeros periodos, pero después de unos 5 periodos de tiempo la población comienza a crecer y alcanza un tamaño poblacional relativo similar al comienzo después de ±16 periodos de tiempo. Esto indica que la población se recupera rápidamente y alcanza un tamaño poblacional estable en un periodo relativamente corto.
Como la población tiene una estructura estable, la población no tiene un crecimiento diferente a 1, por lo que alcanza un tamaño poblacional estable en un periodo relativamente corto o inmediato. Debido a que la población tiene una estructura estable, el tamaño relativo de la población es constante.
#Escenario 3. Estructura estable
# Estructura estable de estados
Wmax <- stable.stage(Lr1)
nLr3 <- Wmax
#Gráfica de barras del escenario 3
#barplot(nLr3, names.arg = 1:4)
#title( main = "Escenario 3", xlab = "Categoría", ylab = "Proporción")
#Proyección de la dinámica escenario 3
Lr1st <- (Lr1 / lambda)
#Lr1st
#eigen(Lr1st)
pr3 <- project(Lr1st, vector = Wmax, time = 50)
pr3df <- as.data.frame(pr3)
pr3df$time <- seq(1, nrow(pr3df), 1)
ggplot(pr3df, aes(time, pr3)) +
geom_line(aes(color = "blue"), size = 2) +
geom_hline(yintercept = 1, linetype = "dashed", color = "red") +
xlab("Time intervals") +
ylab("Relative population size/density") +
theme_minimal() +
rlt_style_colour()
## Código para el plot usando el método tradicional
#plot(pr3, log = "y", ylim = c(0.1, 1.6), ann = FALSE)
#title(main = "Proyección de la dinámica (Escenario 3)", xlab = "Time intervals", ylab = "Population size/density")En este escenario, se supone que la población tiene una mayor proporción de plántulas y una proporción similar en las categorías juvenil, adulto no reproductivo y adulto reproductivo (0.4, 0.2, 0.2, 0.2). En este caso, la población decrece rápidamente en los primeros periodos, pero después de unos ±7 periodos de tiempo la población comienza a crecer y alcanza un tamaño poblacional relativo similar al comienzo después de ±36 periodos de tiempo. Esto indica que la población se recupera rápidamente y alcanza un tamaño poblacional estable en un periodo relativamente corto, si la población comienza con esta estructura demográfica.
# DINÁMICA POBLACIONAL ABSOLUTA.
nLr4 <- c(66, 33, 33, 33)
nLr4 <- nLr4 / sum(nLr4)
pr4 <- project(Lr1, vector = nLr4, time = 50)
pr4df <- as.data.frame(pr4)
pr4df$time <- seq(1, nrow(pr4df), 1)En este escenario, se supone que la población tiene una mayor proporción de individuos en la categoría de adulto reproductivo (0,0,0,1). En el escenario 5, la población crece rápidamente en los primeros periodos, sufriendo una reducción después de ±5 meses; no obstante, se reconoce que la población aumenta rápidamente.
#Escenario 5. Límite superior
nLr5 <- c(0, 0, 0, 166)
#Proporción de individuos por categoría
nLr5 <- nLr5 / sum(nLr5)
#nLr5
#Gráfica de barras del escenario 5
#barplot(nLr5, names.arg = 1:4)
#title( main = "Escenario 5", xlab = "Categoría", ylab = "Proporción")
#Proyección de la dinámica escenario 5
pr5 <- project(Lr1, vector = nLr5, time = 50)
pr5df <- as.data.frame(pr5)
pr5df$time <- seq(1, nrow(pr5df), 1)
ggplot(pr5df, aes(time, pr5)) +
geom_line(aes(color = "blue"), size = 2) +
geom_hline(yintercept = 1, linetype = "dashed", color = "red") +
xlab("Time intervals") +
ylab("Relative population size/density") +
theme_minimal() +
rlt_style_colour()
#plot(pr5, log = "y", ylim = c(0.1, 1.6), ann = FALSE)
#title(main = "Proyección de la dinámica (Escenario 5)", xlab = "Time intervals", ylab = "Population size/density")En el siguiente recuadro se integran en una sola gráfica los resultados de la dinámica absoluta de L. rubripetala para los escenarios 1, 3 y 5.
ggplot(Population_density, aes(time, Pop, color = Escenario)) +
geom_line(size = 1) +
geom_hline(yintercept = 1, linetype = "dashed", color = "red") +
labs(
title = "Population dynamics projections",
x = "Time intervals",
y = "Relative population size/density"
) +
theme_minimal() +
rlt_style_colour()
Estandarizar permite comparar escenarios sin que λ los domine. Cuando se proyecta la dinámica absoluta de varios escenarios iniciales, la trayectoria que más crece es siempre la que más se acerca a la estructura estable — porque después de unos pocos pasos todas crecen al ritmo asintótico λ. Para aislar el efecto de la estructura inicial, se divide la matriz por λ y se escala el vector inicial a sumar 1. Las trayectorias resultantes muestran sólo la respuesta transitoria, lo que las hace directamente comparables entre escenarios y entre poblaciones de distintas especies.
La dinámica poblacional transitoria estandarizada proyecta de forma cuantitativa los cambios en la población a corto plazo para los escenarios planteados. Con este fin, primero se elimina el efecto de largo plazo de la tasa de crecimiento poblacional y de la estructura inicial de la población, lo cual permite mantener otras propiedades asintóticas, por ejemplo, la estructura estable de estados/edades y las elasticidades (Koons, Iles & Stott, 2021). En este proceso se dividen todos los elementos de la matriz sobre el valor de la lambda asintótica (\(λ_{max}\)) obtenida por la iteración de la matriz y se escala a 1 el vector de la estructura poblacional (Koons, Iles & Stott, 2021). Como resultado de este proceso, y para cualquier matriz y vector estandarizados, tendremos una \(λ_{max}\) igual a la unidad y la suma de 1 en el segundo caso, lo cual facilita y hace equitativa la comparación entre los modelos de los distintos escenarios (Stott, Townley & Hodgson, 2011; Stott, Hodgson & Townley, 2012b; Stott, Hodgson & Townley, 2012a; Koons, Iles & Stott, 2021).
En el artículo de Tremblay y colaboradores (Tremblay, Raventos & Ackerman, 2015), la dinámica transitoria para L. rubripetala corresponde a la figura 2B. Esta figura se construye con base en la matriz y vectores estandarizados de los cinco escenarios definidos y se proyecta el crecimiento de la población a 50 meses (4.1 años). Las gráficas de la dinámica transitoria para estos escenarios se generan usando las siguientes funciones de R: standard.A = TRUE en la estandarización de la matriz y standard.vec = TRUE para el vector, project() para estimar la tendencia del crecimiento poblacional (Stott, Townley & Hodgson, 2011; Stott, Hodgson & Townley, 2012b; Stott, Hodgson & Townley, 2012a) y ggplot2 para agrupar en una sola gráfica la tendencia del crecimiento poblacional de los escenarios.
En el siguiente recuadro se estima el crecimiento poblacional de L. rubripetala sin efecto de la dinámica asintótica para tres escenarios: 1, 3 y 5. En el cálculo de la dinámica de corto plazo se proyecta usando la matriz de transición de la población 1 de L. rubripetala y el correspondiente vector inicial de la población.
## PROYECCIÓN DE LA DINÁMICA DE CORTO PLAZO.
#Vector de estructura inicial: abundancia por categoría de acuerdo con el estado
n0 <- c(166, 0, 0, 0)
#Escenario 1: Límite inferior
pr2.1 <- project(
Lr1,
vector = nLr1,
time = 50,
standard.A = T,
standard.vec = T
)
#Escenario 3. Estructura estable
pr2.3 <- project(
Lr1,
vector = nLr3,
time = 50,
standard.A = T,
standard.vec = T
)
#Escenario 5. Límite superior
pr2.5 <- project(
Lr1,
vector = nLr5,
time = 50,
standard.A = T,
standard.vec = T
)La proyección de la dinámica transitoria para los tres escenarios definidos (1, 3, y 5) tiene un comportamiento contrastante, lo cual es evidente en la gráfica del siguiente recuadro. El crecimiento es constante (i.e. lambda =1) cuando se considera la estructura estable de estados. Cuando la estructura poblacional corresponde al Inicio I se determina un decremento en la población en los primeros 5 meses, el cual se mantiene en el tiempo a lo largo de la proyección. Si la población está representada por adultos reproductivos, ésta crece en los primeros cinco meses y este crecimiento se mantiene a lo largo de los 50 meses.
# DINÁMICA POBLACIONAL TRANSITORIA ESTANDARIZADA ---------- #
# Gráfica de la Dinámica transitoria específica de la población
layout(matrix(c(1, 2, 3), ncol = 3))
# Escenario 2
yr <- safe_log_ylim(as.numeric(pr2.2))
plot(pr2.2, log = "y", main = "Escenario 2", xlab = "", ylab = "Densidad poblacional",
ylim = yr, yaxt = "n")
axis(2, at = safe_log_ticks(yr), labels = signif(safe_log_ticks(yr), 3))
# Escenario 3 (constante ≈ 1 → needs padding)
yr <- safe_log_ylim(as.numeric(pr2.3))
plot(pr2.3, log = "y", main = "Escenario 3", xlab = "", ylab = "",
ylim = yr, yaxt = "n")
axis(2, at = safe_log_ticks(yr), labels = signif(safe_log_ticks(yr), 3))
# Escenario 5
yr <- safe_log_ylim(as.numeric(pr2.5))
plot(pr2.5, log = "y", main = "Escenario 5", xlab = "", ylab = "",
ylim = yr, yaxt = "n")
axis(2, at = safe_log_ticks(yr), labels = signif(safe_log_ticks(yr), 3))
En el siguiente recuadro se integran en una sola gráfica los resultados de la dinámica poblacional transitoria estandarizada de L. rubripetala para los escenarios 1, 3 y 5.

La gráfica a continuación corresponde a los cinco escenarios planteados para la población 1 de L. rubripetala, semejante a la figura 2B del artículo de Tremblay y colaboradores (Tremblay, Raventos & Ackerman, 2015); aunque cabe señalar que no se integran los índices transitorios, los cuales abordamos a continuación.
Se determinan los límites de la dinámica transitoria con el fin de evaluar en el corto plazo los cambios cuantitativos en la población, debido a perturbaciones repentinas en la estructura poblacional. Estos se calculan en los modelos de corto plazo a través de los Índices de transferencia (Stott, Townley & Hodgson, 2011), los cuales se estiman previo a que se alcance la tasa constante de crecimiento poblacional e incluyen los siguientes tres parámetros:
i) Reactividad alta y Reactividad baja (Upper reactivity y Lower reactivity) que representan el crecimiento o el decremento inmediato (i.e. primer intervalo de tiempo).
ii) Máxima amplificación y Máxima atenuación (Maximum amplification y Maximum attenuation) que indican, respectivamente, el incremento o decremento máximo futuro del crecimiento poblacional.
iii) Inercia alta e Inercia baja (Upper inertia y Lower inertia) que evalúan el límite más alto o el más bajo en el crecimiento de la población.
Tres índices que resumen la dinámica transitoria.
| Índice | Qué mide | Cuándo es útil |
|---|---|---|
Reactividad (reac) |
Cambio inmediato (primer paso) en el tamaño relativo de la población. | Para evaluar la respuesta inicial a una perturbación. |
Máxima amplificación / atenuación (maxamp, maxatt) |
El máximo crecimiento o decremento alcanzado durante la transición. | Para identificar el escenario de “auge” o “declive temporal” más extremo. |
Inercia (inertia) |
Diferencia a largo plazo entre el escenario transitorio y la trayectoria asintótica. | Para cuantificar el “legado” permanente de la estructura inicial sobre el tamaño futuro. |
Cada uno tiene una variante “alta” (upper) y “baja” (lower), correspondiente a estructuras iniciales que producen el máximo o mínimo del índice respectivamente.
#Escenario 1 (límite inferior):
lim.trans <- as.data.frame(matrix(NA, 5, 3))
names(lim.trans) <- c("reac", "maxatt", "inertia")
reac1 <- reac(Lr1, vector = nLr1)
lim.trans[1, 1] <- reac1
reac1[1] 0.8049991
maxatt1 <- maxatt(Lr1, vector = nLr1, return.t = T)
maxatt1$maxatt
[1] 0.4643848
$t
[1] 49
lim.trans[1, 2] <- maxatt1[1]
inertia1 <- inertia(Lr1, vector = nLr1)
inertia1[1] 0.4643642
lim.trans[1, 3] <- inertia1#Escenario 3 (estructura estable):
reac3 <- reac(Lr1, vector = nLr3)
lim.trans[3, 1] <- reac3
reac3[1] 1
inertia3 <- inertia(Lr1, vector = nLr3)
inertia3[1] 1
lim.trans[3, 3] <- inertia3#Escenario 5. Límite superior
reac5 <- reac(Lr1, vector = nLr5)
lim.trans[5, 1] <- reac5
reac5[1] 1.122908
maxamp5 <- maxamp(Lr1, vector = nLr5, return.t = T, conv.accuracy = 0.01)
maxamp5$maxamp
[1] 1.223337
$t
[1] 5
lim.trans[5, 2] <- maxamp5[1]
inertia5 <- inertia(Lr1, vector = nLr5)
inertia5[1] 1.23738
lim.trans[5, 3] <- inertia5#Escenario 2 (inicio I):
reac2 <- reac(Lr1, vector = nLr2)
reac2
lim.trans[2, 1] <- reac2
maxatt2 <- maxatt(Lr1, vector = nLr2, return.t = T)
maxatt2
lim.trans[2, 2] <- maxatt2[1]
inertia2 <- inertia(Lr1, vector = nLr2)
inertia2
lim.trans[2, 3] <- inertia2
#Escenario 4. Inicio II
reac4 <- reac(Lr1, vector = nLr4)
lim.trans[4, 1] <- reac4
reac4
maxatt4 <- maxatt(Lr1, vector = nLr4, return.t = T)
maxatt4
lim.trans[4, 2] <- maxatt4[1]
inertia4 <- inertia(Lr1, vector = nLr4)
inertia4
lim.trans[4, 3] <- inertia4En la tabla del siguiente recuadro se resumen los valores estimados por escenario.
flextable(lim.trans)Error in `flextable()`:
! could not find function "flextable"
En el siguiente recuadro se integran en una sola gráfica los resultados de la dinámica transitoria estandarizada de L. rubripetala para los escenarios 1, 3 y 5.
len <- nrow(pr2.1)
Population_density <- rbind(
data.frame(Projection = pr2.1, Escenario = "Límite inferior"),
data.frame(Projection = pr2.3, Escenario = "Estable"),
data.frame(Projection = pr2.5, Escenario = "Límite superior")
)
Population_density$Time <- rep(seq(1, len, 1), 3)
trans.plot <- ggplot(data = Population_density) +
theme_minimal() +
# theme(panel.border = element_blank()) +
#theme(legend.position = "none") +
geom_line(
aes(x = Time, y = Projection, group = Escenario, colour = Escenario),
linewidth = 0.8
) +
scale_colour_manual(values = c("green4", "black", "orange2")) +
labs(
title = "Dinámica poblacional transitoria",
x = "Intervalo de proyección (meses)",
y = "Densidad poblacional relativa \n a lambda max"
) +
ylim(0.3, 1.3) +
rlt_style_colour()
trans.plot +
annotate(
"text",
x = 49,
y = maxatt1$maxatt,
# 1. Change expression() to a string
# 2. Add parse = TRUE
label = "underline(rho) == 0.46",
parse = TRUE,
hjust = 1.0,
vjust = -1
) +
annotate(
"text",
x = 49,
y = maxamp5$maxamp,
# 1. Change expression() to a string
# 2. Add parse = TRUE
label = "bar(rho) == 1",
parse = TRUE,
hjust = 1.22,
vjust = -1
)
La gráfica a continuación corresponde a los cinco escenarios planteados para la población 1 de L. rubripetala, equivalente a la figura 2B del artículo de Tremblay y colaboradores ((Tremblay, Raventos & Ackerman, 2015)). Esta permitirá comparar tus resultados y verificar que los escenarios que has desarrollado estén correctos.